Impact of Fatigue on Positional Movements During Professional Rugby Union Match Play

Abstract

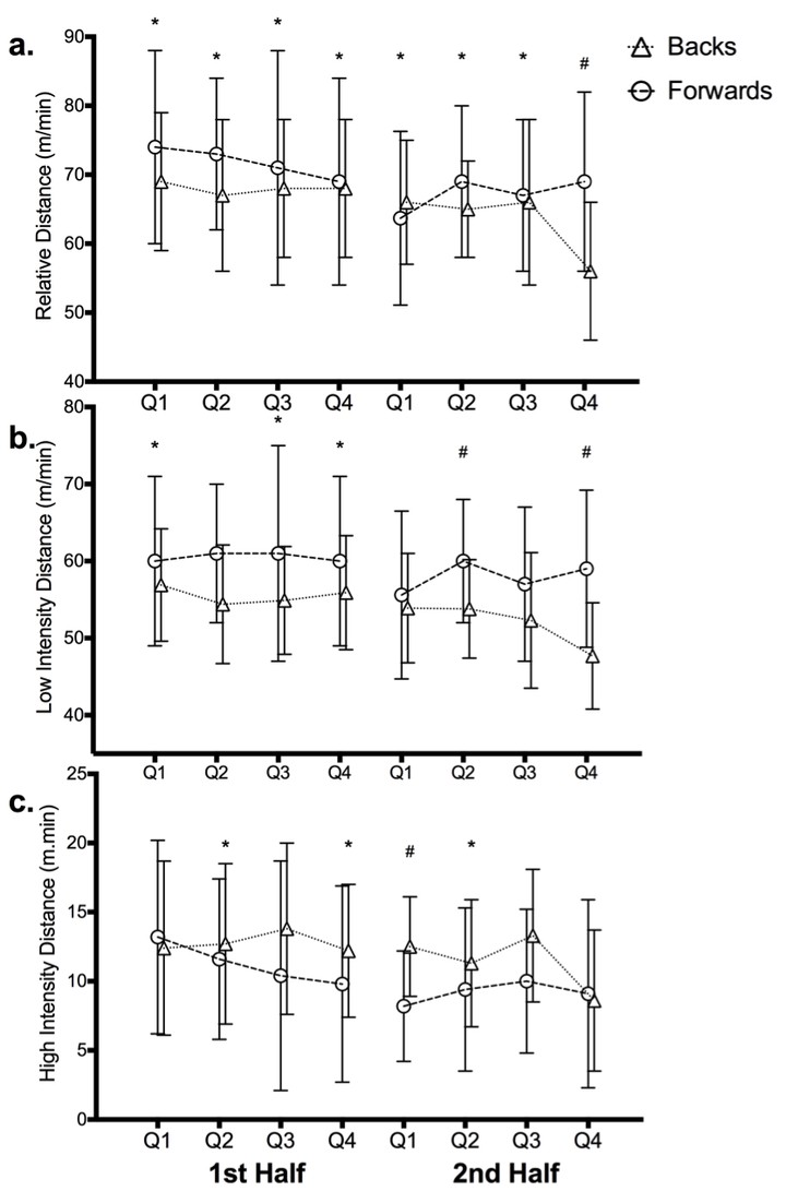
In team sports, fatigue is manifested by a self-regulated decrease in movement distance and intensity. There is currently limited information on the effect of fatigue on movement patterns in rugby union match play, particularly for players in different position groups (backs vs forwards). This study investigated the effect of different match periods on movement patterns of professional rugby union players. Global positioning system (GPS) data were collected from 46 professional match participations to determine temporal effects on movement patterns. Total relative distance (m/min) was decreased in the 2nd half for both forwards (-13%, ±8%, ES = very likely large) and backs (-9%, ±7%, ES = very likely large). A larger reduction in high-intensity-running distance in the 2nd half was observed for forwards (-27%, ±16%, ES = very likely medium) than for backs (-10%, ±15%; ES = unclear). Similar patterns were observed for sprint (>6 m/s) frequency (forwards -29%, ±29%, ES = likely small vs backs -13% ±18%, ES = possibly small) and acceleration (>2.75 m/s2) frequency (forwards -27%, ±24%, ES = likely medium vs backs -5%, ±46%, ES = unclear). Analysis of 1st- and 2nd-half quartiles revealed differing pacing strategies for forwards and backs. Forwards display a “slow-positive” pacing strategy, while the pacing strategy of backs is “flat.” Forwards suffered progressively greater performance decrements over the course of the match, while backs were able to maintain performance intensity. These findings reflect differing physical demands, notably contact and running loads, of players in different positions.

Publication
International Journal of Sports Physiology and Performance 2017 Apr;12(4):554-561.
Jason Tee
Jason Tee
Coach developer and performance consultant

Coach and sports scienctist with an interest in player and coach development

Related